![]()
Description: Estimates standard deviation based on a sample. Non-numerical values are ignored. The standard deviation is a measure of how widely values are dispersed from the average value (the mean).
Syntax: STDEV(Number1, Number2, ...)
Number1, Number2, ... are 1 to 30 number arguments corresponding to a sample of a population. You can also use a single array or a reference to an array instead of arguments separated by commas.
Remarks:
STDEV assumes that its arguments are a sample of the population. If your data represents the entire population, then compute the standard deviation using STDEVP.
The standard deviation is calculated using the "unbiased" or "n-1" method.
Arguments can either be numbers or names, arrays or references that contain numbers.
Logical values and text representations of numbers that you type directly into the list of arguments are counted.
If an argument is an array or reference, only numbers in that array or reference are counted. Empty cells, logical values, text or error values in the array or reference are ignored.
Arguments that are error values or text that cannot be translated into numbers cause errors.
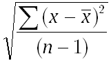
STDEV uses the following formula:

where x is the sample mean AVERAGE(Number1, Number2,…) and n is the sample size.
Example:
Suppose 10 tools stamped from the same machine during a production run are collected as a random sample and measured for breaking strength. The sample values (1345, 1301, 1368, 1322, 1310, 1370, 1318, 1350, 1303, 1299) are stored in A2:E3, respectively. STDEV estimates the standard deviation of breaking strengths for all the tools.
STDEV(A2:E3) = 27.46
© 1992-2016. ReliaSoft Corporation. ALL RIGHTS RESERVED.
![]() |
E-mail Link |