![]()
Description: Returns the number of permutations for a given number of objects that can be selected from a number of objects. A permutation is any set or subset of objects or events where internal order is significant. Permutations are different from combinations, for which the internal order is not significant. Use this function for lottery-style probability calculations.
Syntax: PERMUT(Number, Number_chosen)
Number is an integer that describes the number of objects.
Number_chosen is an integer that describes the number of objects in each permutation.
Remarks:
Both arguments must be integers.
Number must be > 0 and Number_chosen must be => 0.
Number must be => Number_chosen.
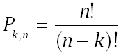
The equation for the number of permutations is:

Example:
Suppose you want to calculate the odds of selecting a winning lottery number. Each lottery number contains three numbers, each of which can be between 0 (zero) and 99, inclusive. The following function calculates the number of possible permutations:
PERMUT(100,3) = 970200
© 1992-2016. ReliaSoft Corporation. ALL RIGHTS RESERVED.
![]() |
E-mail Link |