![]()
Description: Returns the standard normal cumulative distribution. The distribution has a mean of 0 (zero) and a standard deviation of one. Use this function in place of a table of standard normal curve areas.
Syntax: NORMSDIST(Z)
Z is the value for which you want the distribution.
Remarks:
Z must be a number.
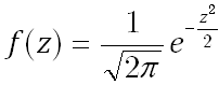
The equation for the standard normal density function is:

Example:
NORMSDIST(1.333333333) = 0.908789
© 1992-2016. ReliaSoft Corporation. ALL RIGHTS RESERVED.
![]() |
E-mail Link |