![]()

Description: Returns the standard deviation of the fitted model, which provides a measure of the spread of the failure times. The standard deviation is the square root of the variance.
Syntax: ASTDEV(Data_Src)
Data_Src is the source data sheet from which the value is taken.
Remarks:
The Data_Src can be one of the following values:
A default data source selected from the Data Source Index drop-down list.
A data sheet name (e.g., "Folio1!Data 1").
A variable name defined in the Defined Names window (e.g., datasource).
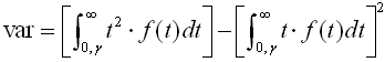
The variance of the life provides a measure of the spread of the failure times and is given by:

The larger the variance, the wider the spread of the failure times.
The standard deviation is the square root of the variance:

Example:
ASTDEV("Folio1!Data 1")
© 1992-2016. ReliaSoft Corporation. ALL RIGHTS RESERVED.
![]() |
E-mail Link |