
Description: Returns the hyperbolic tangent of a number.
Syntax: TANH(Number)
Number is any real number.
Remarks:
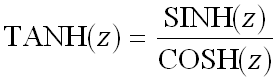
The formula for the hyperbolic tangent is:

Example:
TANH(0.5) = 0.462117 [the hyperbolic tangent of 0.5]
© 1992-2018. HBM Prenscia Inc. ALL RIGHTS RESERVED.
![]() |
E-mail Link |