

Description: Returns the Weibull distribution. Use this distribution in reliability analysis, such as calculating a device's mean time to failure.
Syntax: WEIBULL(Number, Beta, Eta, Cumulative)
Number is the value at which to evaluate the function.
Beta is a parameter to the distribution.
Eta is a parameter to the distribution.
Cumulative determines the form of the function.
Remarks:
Number, Beta and Eta must be numerical.
Number must be greater than or equal to 0.
Beta and Eta must be greater than 0.
The equation for the Weibull cumulative distribution function is:

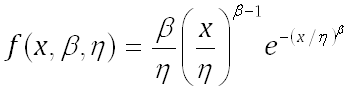
The equation for the Weibull probability density function is:

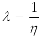
When Beta = 1, WEIBULL returns the exponential distribution with:

Example:
WEIBULL(105, 20, 100, TRUE) = 0.929581
WEIBULL(105, 20, 100, FALSE) = 0.035589
© 1992-2019. HBM Prenscia Inc. ALL RIGHTS RESERVED.
| E-mail Link |