
Description: Returns the standard normal cumulative distribution. The distribution has a mean of 0 (zero) and a standard deviation of one. Use this function in place of a table of standard normal curve areas.
Syntax: NORMSDIST(Z)
Z is the value for which you want the distribution.
Remarks:
Z must be a number.
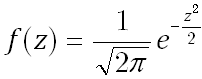
The equation for the standard normal density function is:

When used in a RENO flowchart, Z must evaluate to a numerical value. It can include:
Numerical values
Standard operands (+, -, *, /)
Predefined mathematical functions (exp, log, sin, etc.)
References to any Synthesis Workbooks
Example:
NORMSDIST(1.333333333) = 0.908789
© 1992-2019. HBM Prenscia Inc. ALL RIGHTS RESERVED.
| E-mail Link |